Le mât à encastrement partiel est une configuration courante de structure en béton armé, qui malgré tout reste peu documentée dans la littérature. Un encastrement partiel représente pourtant une hypothèse délicate à appréhender.
Cet exemple propose une revue du processus de mise en donnée et de justification d’un tel calcul, selon la méthode générale de l’EC2 réduite à une section critique (MG1). Il détaille surtout différents rappels et points de vigilance surveiller pour réussir le dimensionnement.
La fin de l’exemple montre la solution exacte au problème et l’optimisation possible permise par la méthode générale intégrale (MGI).
- Présentation du cas
- Première étape : déterminer la raideur rotationnelle exercée par la longrine sur le pied de poteau.
- Deuxième étape : déterminer la longueur de flambement du poteau
- Troisième étape : Déterminer le point d’équilibre de la section critique
- Quatrième étape : déterminer le moment d’encastrement et vérifier la longrine
- Digression sur la raideur partielle en pied
- La solution exacte au problème
- L’optimisation du dimensionnement
NB : Cet exemple complète un dossier plus général consacré à la "Méthode générale de l'EC2 et ses limites d'utilisation», auquel on pourra également se référer pour la partie théorique.
Présentation du cas
Nous considérons dans cet exemple un mât simple, dont les caractéristiques de la section sont constantes le long de son axe et correspondent au schéma suivant :

On suppose par ailleurs le mât bloqué hors plan, et l’imperfection géométrique (tolérance de verticalité ou d’implantation) intégrée dans l’effort horizontal Hu indiqué ci-dessous.
Enfin on admet un taux de fluage du béton sous la sollicitation ELU de φ=1.

Pour la longrine, on formule les hypothèses complémentaires suivantes :
- la longrine ne subit aucune charge autre que celle en provenance du poteau
- la longrine utilise les mêmes matériaux que le poteau.
NB : si la longrine subissait des charges gravitaires, on devrait alors prendre en compte un défaut de verticalité dans le poteau, imposée par la rotation à l’appui de la longrine.
L’étude de ce projet revient à l’étude d’un poteau libre en tête et encastré partiellement en pied, que l’on se propose d’étudier selon la méthode générale de l’EC2, ou plus précisément, son option simplifiée réduire à l’étude d’1 section critique (MG1).
Première étape : déterminer la raideur rotationnelle exercée par la longrine sur le pied de poteau.
On suppose ici pouvoir considérer que la longrine reste dans son domaine de fonctionnement élastique sous la sollicitation ELU qui dimensionne le poteau. On peut donc utiliser les formules usuelles de la résistance des matériaux :
klongrine->poteau = 3 E I / L
E : Nous plaçant dans le contexte de l’étude du poteau au 2nd ordre, on utilise la loi de comportement de dimensionnement (« de design »), à laquelle on intègre l’effet de fluage. On retient donc : E = Ecm/ɣCE / (1+φ) = 1,3 1010 Pa.
I : Nous devons également intégrer une inertie prudente de la longrine, pour nous placer du côté de la sécurité dans le dimensionnement du poteau. La longrine étant en flexion simple, on suppose son inertie fissurée, égale à 1/2,5 de l’inertie non fissurée de son coffrage.
I = (0,4x0,53/12) / 2,5 = 1,7 10-3 m4
L= 4,40m.
On obtient ainsi : klongrine->poteau = 3 E I / L = 1,5 107 Nm/rad.
Deuxième étape : déterminer la longueur de flambement du poteau
La connaissance de la raideur klongrine->poteau nous permet de déterminer la souplesse de l’extrémité inférieure du modèle de poteau :
s1 = 1/klongrine->poteau . E.I/L
Afin de nous placer du côté de la sécurité, on considère cette fois:
- un majorant de E par exemple Epoteau = 1,3 1010
- un majorant de I. Le poteau étant en flexion compression, il y a des chances qu’il soit non fissuré sous la combinaison dimensionnante. Ipoteau = I= (0,4x0,43/12) = 2,1 10-3 m4
On obtient ainsi : sinf,poteau = 0,36.
Le poteau étant libre en tête, la souplesse de son extrémité supérieure est infinie. s2 = +∞
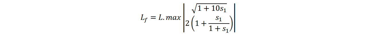
Le poteau étant non contreventé en tête, on applique la formule (5.16) de l’EC2 en faisant la limite de la fonction l0 quand s2 tend vers l’infini. On obtient, avec les notations de l’exercice.

soit Lf = 2,52 L soit Lf = 12,6m.
On fait ici une digression avec le futur EC2 qui propose une formule différente en (O.10). On obtient avec cette formule :

soit Lf = 2, 73 L soit Lf = 13,65m.
NB : On retient pour la suite de l’exercice, le résultat de la formule du futur EC2.
Troisième étape : Déterminer le point d’équilibre de la section critique
La MG1 est le plus souvent implémentée sous la forme d’un tableur.
Ce dernier couvre le cas des poteaux rectilignes à section constante et ferraillage bi-symétriques, pour 3 types de coffrage courants : rectangulaire, circulaire et diagonaux.
PM : Le traitement du cas diagonal pourrait être supposé redondant par rapport au cas rectangulaire, mais dans le cas des poteaux carrés, en fonction du taux de ferraillage, le flambement du poteau selon sa diagonale peut intervenir avant le flambement du poteau selon les axes principaux.

Le tableur permet de déterminer le point d’équilibre stable, s’il existe, entre la courbure « interne » de la section BA et la courbure externe du schéma RDM, au droit de la section critique du mât équivalent supposé se déformer de façon sinusoïdale.
La valeur ajoutée principale du tableur réside dans la détermination de l’excentricité de 2e ordre e2 associée à ce point d’équilibre, qui résulte d’un calcul itératif.
On rappelle que dans la méthode générale MG1, la section critique est la section d’encastrement parfait du mât équivalent de hauteur Lf/2, qu’il convient ici de ne pas confondre avec la section d’encastrement partiel de notre poteau réel.

Points de vigilance dans le remplissage du tableur :
- le moment de 1er ordre à renseigner est celui de la section critique. On doit donc retenir : M1 = Hu. Lf/2 = 48 kNm (et non Hu. L/2)
- Il convient de vérifier ce que signifie Atot dans le tableur. Dans un onglet rectangulaire et par opposition au cas circulaire, Atot signifie le plus souvent la section totale de armatures disposées en fibre inf et sup. Dans notre tableur, On retient alors : 6HA16 = 12cm² (et non 8HA16).
- L’excentricité additionnelle est parfois prise en compte automatiquement à partir de la longueur à libre ou la longueur de flambement. Ici nous bloquons sa valeur à 0, puisqu’elle est intégrée dans Hu
Une fois ces trois points effectués, on peut finaliser le remplissage du tableur et déterminer la solution :

Le point d'équilibre est trouvé, la section critique est justifiée.
La vérification peut s’arrêter là pour la justification ELU sous contraintes normales de l’ensemble des sections du poteau, puisque la convergence obtenue vers le point d’équilibre justifie mécaniquement la section d’encastrement du mât réel.
Il n’y a pas lieu de réaliser de réaliser des arrêts de barre ou des réductions du coffrage le long de la section, même si le moment tend vers 0 jusqu’au sommet, car la constance de la section du poteau est une des hypothèses inhérentes à la méthode MG1.
Nous pouvons noter ici que nous avons justifié une section fictive, pour en déduire la validité de l’ensemble des sections réelles du poteau. Cependant, aucune des sections réelles du poteau ne sera confrontée au moment d’encastrement parfait étudié dans le modèle équivalent. Ce paradoxe est inhérent à la méthode MG1.
Quatrième étape : déterminer le moment d’encastrement et vérifier la longrine
En revanche, une fois un poteau justifié, il faut propager les effets de 2nd ordre vers les appuis et les intégrer dans le dimensionnement de ces derniers.
Ici, il faut déterminer le moment au droit de l’encastrement réel entre le poteau et la longrine, puis justifier la longrine et même, idéalement, vérifier si l’hypothèse sur son inertie formalisée au début est bien un minorant de la valeur constatée suite à son dimensionnement.
Suite à la détermination de e2 par le tableur, on sait déterminer l’excentrement externe tout au long des sections du poteau.

En particulier, au droit de l’encastrement du poteau réel (x=L) :

On peut dès lors vérifier la longrine et contrôler si Ilongrine >= Inf /2,5 pour valider notre hypothèse de départ et la globalité du calcul.
En faisant une nouvelle simulation du poteau avec un effort Nu = 400kN, l’équilibre n’est plus atteint, Nu = 390kN est la charge critique ultime du poteau selon l’approche MG1.
Digression sur la raideur partielle en pied
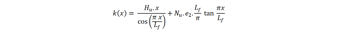
Selon notre approche MG1, la rotation en pied du poteau réel peut s’obtenir par dérivation de la formule précédente :

On peut dès lors chercher à vérifier si k = M/ϑ .
Ici on obtient 5,6 106 Nm/rad et on constate donc que le résultat trouvé avec la méthode MG1 ne correspond pas à la raideur rotationnelle de 1,5 107 Nm/rad que nous nous étions fixés comme hypothèse.
En réalité, l’hypothèse sinusoïdale sur la déformée permet d’écrire plus généralement la relation suivante entre la raideur en pied d’un mât de longueur x encastré partiellement, et sa longueur de flambement :

On voit que la raideur obtenue dépend de la longueur de flambement, mais également, inévitablement, des efforts appliqués sur le mât. Or, à aucun moment, les formules de l’EC2 actuel (5.16) ou futur (O.10) ne les intègrent.
Cet écart entre l’hypothèse de raideur et la raideur constaté dans le modèle est inhérent à la méthode générale MG1 et nous place du côté de la sécurité.
La solution exacte au problème
La méthode générale intégrale permet de déterminer la solution au problème de façon exacte, à travers un cheminement plus simple, plus juste et plus facile à contrôler.
La vidéo suivante, , commentée dans les lignes à suivre, montre la saisie du modèle de poteau et les résultats du calcul exact.
Le paramétrage
- détermination des conditions d’appuis et extrémités
- appui de tête à x=0, appui de pied à x=5m
- suppression de rigidité latérale Ky en tête (extrémité libre)
- suppression des « largeurs d’appui » a : dans cette étude de poteau isostatique, on n’intègre pas la notion d’écrétage des moments sur appuis
- ajout de la rigidité partielle en pied KM = 1,5e7 soit 1 500 000 Nm/rad
- suppression de toute flèche initiale (l’imperfection géométrique est supposée intégrée dans l’effort horizontal Hu)
- paramétrage des sollicitations
- Effort normal Nz = 390kN à x=0
- Effort latéral Ty = 7 kN à x=0
- paramétrage des matériaux
- Négligence de la résistance du béton tendu fct = 0 MPa
- Intégration du fluage du béton φ=1
- réglage du coffrage : section rectangulaire 40x40
- réglage du ferraillage : 8HA16 sur le pourtour
La solution
Le calcul aboutit à l’équilibre : « 2nd ORDER COMPLETED ».
- L’onglet « Global Structural Analysis fournit les résultats graphiques de moment, courbure et flèche totale le long du poteau, intégrant le 2nd La courbure n’est pas sinusoïdale, et marque un point d’inflexion au moment de la fissuration de la section.
- Longlet « Local Structural Analysis et Design of Sections » fournit localement les résultats graphiques du comportement interne du poteau, dans un mode de représentation usuel de l’ingénieur en béton armé.
- Le schéma du poteau indique les efforts dans l’appui de pied intégrant le 2nd ordre (Mz = 47kNm).
Les courbures indiquées dans le 3e onglet correspondent bien à celles indiquées dans le 2nd onglet. L’intégralité des résultats est vérifiable graphiquement de proche en proche.
Sur notre cas, on peut constater que le béton et les aciers sont sous-sollicités, avec des contraintes ne dépassant pas 100MPa pour l’acier et le 6MPa pour le béton.
L’optimisation du dimensionnement
L’outil MGI va nous permettre d’optimiser cet ouvrage. La vidéo, commentée à suivre, montre l'optimisation du poteau en 3 étapes.
Optimisation du coffrage
- modification du coffrage à 30x30 au lieu de 40x40
- le calcul ne converge pas et conclut au flambement : « BUCKLING »
- modification du coffrage à 35x35
- cette fois, le calcul converge à nouveau, le moment en pied est passé de 47kNm à 56kNm
Optimisation du ferraillage
- on crée un deuxième tronçon du poteau à 2,50m afin de pouvoir « dégraisser » le ferraillage de la partie supérieure du poteau, étant moins sollicitée : dans le tronçon de tête de x=0 à x=2,50m, on divise par 2 la quantité d’aciers pour mettre en place 4HA16 au lieu de 8 (soit A/B = 0,65% OK).
- le calcul converge encore. l’optimisation de ferraillage n’a pas eu d’effet significatif sur le moment de 2nd ordre qui vaut toujours 56 kNm.
- on agrandit donc la longueur du tronçon de tête du poteau jusqu’à 4,50m.
- le calcul converge à nouveau, avec un moment de second ordre de 60kNm au lieu de 56kNm.
Remarque importante : Le modèle utilisé dans la MGI permet ainsi d’intégrer des modifications de section tout au long de l’élément étudié, par tronçons de section constante. Le modèle suppose toutefois que les sections soient pleinement opérationnelles à la fois en béton et en acier. on prévoira donc sur un plan d’EXE les surlongueurs d’acier pour assurer l’angrage des barres HA considérées au calcul et des surlongueurs de béton le cas échéant pour permettre l’épanouissement des bielles de compression.
L’application de la méthode générale intégrale a permis sur cet exemple de gagner :
- 25% sur la quantité de béton
- 45% sur la quantité d’aciers longitudinaux
Voir également sur ce sujet, l'article plus général de présentation des atouts d'une méthode générale intégrale pour l'eurocode 2 : Une méthode générale intégrale (MGI) selon l'Eurocode 2
Nous espérons que cet article a été utile. N'hésitez pas à réagir pour proposer des améliorations ou des corrections à ce contenu, dans les commentaires d'articles disponibles en pied de ce contenu (accès inscrits OpenLAB).
EN