Les lois de matériaux à l'EC2 varient entre l'analyse structurale et le calcul de sections, intégrant plus ou moins la complexité du comportement physique du béton et de l'acier selon les objectifs recherchés.
Cet article détaille ces différentes lois de comportement du béton et de l’acier , leurs usages distincts (analyse structurale vs calcul des sections) et leurs limites.
Il explore les modalités d'intégration de phénomènes tels que la plastification, la fissuration, ou encore la résistance en traction du béton, et précise les coefficients de sécurité et les possibilités de linéarisation, ou autre simplifications, autorisées par l'EC2 selon l'étape de calcul.
Ce sujet constitue la seconde partie d’un dossier consacré au comportement flexionnel des poutres en béton armé (2/4).
- Les lois de comportement du béton en compression
Retour vers l'article précédent : Comprendre l’Eurocode 2 : sémantique, structure du calcul et logique analyse / design
Les lois de comportement du béton en compression
Ci-dessous, on représente la modification de l’hypothèse de comportement du béton, entre l’étape 1 d’analyse structurale (en bleu) et l’étape 2 de calcul des sections (en rouge), pour un béton courant de type C25/30.

Le choix des couleurs et des annotations de ce graphe vise à faciliter la compréhension du domaine d’emploi de chaque loi, selon la logique de l’eurocode 2. Les paragraphes à suivre commentent et explicitent progressivement les différents points remarquables de ce graphe.
« Résistance moyenne » VS « résistance de calcul » pour le béton comprimé
On constate une différence énorme des valeurs à retenir pour le comportement du béton dans les 2 approches, traduisant le cumul d'un offset de 8MPa entre fcm et fck et d'un coefficient partiel γc de 1,5 entre fck et fcd. Cette sécurité dans le calcul traduit la grande dispersion possible entre la résistance souhaitée pour le béton au moment de l’étude, et la résistance réelle du béton mesurable, dépendant des conditions de chantier. Elle intègre également la dispersion possible entre la géométrie du coffrage et la position des armatures souhaitée à l’étude, et la géométrie réelle de la structure exécutée.
NB : l’annexe A de l’eurocode 2 permet d’optimiser de 15% les valeurs de calcul du béton et de 10% celles de l’acier lorsque la dispersion sur la géométrie des structures et la résistance du béton sont particulièrement bien maîtrisées.
Dès lors que la fonction de la « loi de calcul » n’est pas de réprésenter le plus fidèlement possible la relation entre la courbure et la déformation, contrairement à la loi moyenne, mais d’intégrer plutôt la sécurité, l’allure de la courbe peut être simplifiée avec un palier plat « moyen », complété d’un coefficient de sécurité qui assure en moyenne, le bon coefficient partiel γc.
Les limites de la loi parabole-rectangle
Dans le cadre de l’analyse structurale, l’eurocode 2 admet en principe une seule loi de comportement pour le béton : il s’agit de la « loi moyenne » en bleu sur le schéma ci-dessus (en §3.1.5 ). Cette loi est incontournable en particulier lorsque doit être établie la vérification de la compatibilité des déformations axiale ou flexionnelle d’un élément en béton armé.
Dans les autres cas, et pour répondre aux besoins de la pratique courante, le §5.4 autorise de larges simplifications de cette loi, jusqu’à la linéarisation et la symétrisation dans l’analyse structurale ELS mais aussi à l’ELU.
Pour le calcul des sections, la loi moyenne est pondérée afin d’obtenir la « loi design », sécuritaire (courbe noire ci-dessous). Pour le calcul pratique des sections BA, cette loi est elle-même approchée par l’eurocode 2 sous deux formes simplifiées, la loi bi-linéaire (non représentée ici) et la loi parabole rectangle (courbe rouge), cette dernière étant une nouvelle fois simplifiée par un modèle rectangulaire lors de son utilisation (pivot B). Les simplifications successives sont illustrées dans la figure ci-après.

Lois de comportement simplifiées pour le calcul des sections
Ces lois de calcul « rouges » sont beaucoup plus faciles à manipuler que la loi complète, tout en permettant une estimation relativement correcte (à 2 à 3% près) pour l’évaluation des bras de levier des sections et le dimensionnement des armatures à l’ELU.
En revanche, ces lois surestiment les courbures de 20 à 30% par rapport à la courbe noire, et s’avèrent donc totalement inadaptées au calcul de déformation en général, et pour le calcul des rotules plastiques en particulier.

Une loi unique pour le béton comprimé en présence d’effets du second ordre
En présence d’effets du second ordre, l’établissement de la compatibilité des déformations est nécessaire, ce qui rend impossible la séquentialité « étape 1 » « étape 2 ». Un calcul unique et itératif est en effet nécessaire, avec une loi de comportement assurant à la fois l’aspect sécuritaire du dimensionnement et permettant une approche la plus réaliste possiblre des déformations, c’est pourquoi les courbes bleues et rouge sont éliminées au profit de la seule courbe noire.
Nous abordons plus en détail ces notions dans un paragraphe suivant.
Une forte évolutivité des courbes du C12/15 au C90/105
Ci-dessous sont représentés l’évolution des lois moyennes et des lois de calcul, en fonction de la classe de résistance du béton. On note une allure des courbes largement évolutive en fonction de la résistance caractéristique du béton.
Au-delà de 50MPa, la ductilité du béton s’affaibilit et loi de calcul (« design ») introduit une sécurité sur la limite ultime de déformation (εcu2 <εcu1).

L’effet de fluage
Le béton est un matériau qui flue : sous l’effet d’une contrainte de compression appliquée de façon permanente, le matériau continue en effet à se « raccourcir » au fil du temps selon un phénomène progressif et irréversible jusqu’à une stabilisation à long terme.
L’Eurocode 2 décrit cette notion en §3.1.4 à travers un coefficient de fluage du béton noté φ(t,t0).
Le phénomène peut être intégré dans la loi de comportement par un coefficient multiplicateur des déformations : σc = f ( (1+ φ(t,t0) ) ε ), ce qui, lorsque la loi est élastique linéaire, est équivalent à adopter un module d’young Ecm / (1+ φ(t,t0) ).
L’Eurocode 2 propose différentes approches pour déterminer la valeur du fluage au cours du temps et à temps infini, mais qui s’appuient sur des paramètres d’humidité de l’air, de type de ciment ou encore de dates de mise en chargement, dont l’ingénieur d’études n’a pas toujours la connaissance au stade du calcul.
A défaut d’un calcul plus sophistiqué, on retient souvent : φ∞ = 2, puis on en déduit le coefficient de fluage φef à prendre en compte dans notre analyse en fonction de la proportion d’effets long terme.
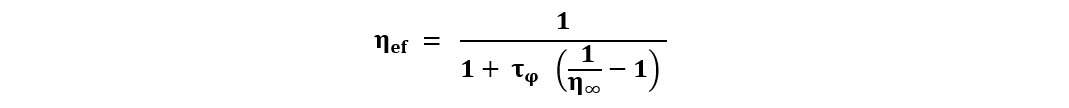
Une relation pratique
Il est souvent nécessaire de basculer entre le coefficient de fluage φ, le ratio module flué / module instantané, ou encore la quotepart d’effets d’actions long terme d’une sollicitation donnée.
Pour ce faire, il est intéressant de nommer ces ratios, comme par exemple :
- τφ : taux d’effets long terme τφ = « Ed ELS,QP » / « Ed »
- ηef: coefficient de réduction effectif du module ηef = Eef / Ei
- η∞: coefficient de réduction du module à temps infini η∞ = E∞ / Ei
pour compléter :
- φef : coefficient de fluage effectif (EC2 §5.8.4(2)) φef = τφ . φ∞
- φ∞: coefficient de fluage à temps infini
On peut dès lors établir la relation suivante :

Cette formule permet de déterminer le module effectif du matériau à utiliser dans un calcul donné, en fonction du module instantané, et selon l’état limite considéré.
Cette formule peut être utilisée pour le béton mais également en géotechnique, où l’on aborde le fluage du sol via des raideurs « long terme » par opposition à des raideurs « court terme ».
Le fluage aux ELU selon les Eurocodes
Dans ce paragraphe, on aborde le cas du sol, parallèlement au cas du béton.
Supposons un modèle où les actions sont uniquement permanentes (Q=0), et où Ec,∞ = 1/3 Ecm pour le béton, et K∞ = 1/2 Ki pour le sol , ce qui sont des valeurs courantes. La formule établie précédemment nous permet de déterminer les valeurs effectives à considérer :
- ELS τφ = 1/1
- pour le béton η∞ = 0,33 => ηef = 0,33 => Ec,ef = 0,33 Eci
- pour le terrain η∞ = 0,5 => ηef = 0,5 => Kef = 0,5 Ki
- ELU τφ = 1/1,35 = 0,74
- pour le béton η∞ = 0,33 => ηef = 0,33 => Ec,ef = 0,40 Eci
- pour le terrain η∞ = 0,5 => ηef = 0,5 => Kef = 0,57 Ki
Les valeurs obtenues à l’ELS sont celles attendues, en revanche celles obtenues àl’ELU méritent d’être soulignées : en effet, on ne retient pas E∞ et K∞ dans le calcul ELU, même lorsque 100% des charges sont long terme.
En quelque sorte, l’eurocode considère que la partie « 0,35G » ajoutée à G à l’ELU, permet une « sécurisation » des actions pour le calcul ultime qui n’a besoin d’être à nouveau « renforcée » par la prise en compte d’un phénomène de fluage.
Le tableau ci-après propose plus généralement une synthèse des valeurs de Ec,ef et Kef, en fonction de la proportion d’effets court terme (CT) et long terme (LT) , avec pour hypothèse Ec,∞/Ec,i = 1/3 et Kv/Ki = ½.

En toute rigueur, lorsque la modélisation utilise un module Ec destiné à être appliqué à des inerties fissurées ou homogénéisées, l’effet du fluage est moindre que celui estimé pour le béton seul, puisque l’acier ne flue pas.
La prise en compte du béton tendu
La résistance à la traction béton
La résistance en traction du béton est faible et très dispersée statistiquement, comme le montre le tableau 3.1 de l’EC2, avec des valeurs qui peuvent passer du simple au double. Sur le principe :
- fctm est la valeur « moyenne » de la résistance en traction, à utiliser par défaut pour l’analyse structurale, tandis que
- fctd, basée sur le fractile inférieur à 5%, sera la résistance en traction du béton « sécuritaire » à considérer pour le calcul des sections à l’ELU, lorsque sa prise en compte est « autorisée » par le texte.
fctm tout comme fctd correspondent à des résistances du béton sous traction directe. L’eurocode 2 nous indique que la résistance en traction du béton, générée dans le cas d’une section en flexion, peut être nettement meilleure que la résistance à la traction directe, et dépend de la hauteur de cette section. L’article 3.1.8 introduit ainsi la résistance à la traction en flexion fctm,fl, que l’on peut utiliser suivant l’article 7.4.3 dans l’étude d’une structure en flexion simple ou en flexion compression.NOTA
Le tableau ci-dessous synthétise les conditions de prise en compte de la résistance en traction du béton en fonction des étapes du calcul et de la configuration du système étudié, notamment dans une modélisation "idéale", selon les principes de l’eurocode 2 (sont développées plus loin les simplifications admises par l'eurocode 2 dans le cadre de l'analyse structurale) :

On note, dans le tableau ci-dessus, l’apparition de fctd,fl , comme proposé dans l’article §3.1.8.
NOTA : le §7.4.3(4) précise qu’en présence de traction axiale (N<0), il convient d’utiliser fctm et non fctm,fl. Cette précision traduit l’idée d’établir une frontière entre le domaine de la « traction directe » et le domaine de la « traction par flexion » pour arbitrer l’usage de l’une ou l’autre des notions. Toutefois une proposition alternative pourrait consister, dans le cas de la flexion composée, à plutôt conserver la formule 3.23 en remplaçant h par une hauteur fictive « hfl » comme définie dans le graphe ci-dessous, afin d’assurer une continuité d’approche de fctm,fl . Dans l’exemple ci-dessous, on constate que la zone inférieure de la poutre se comporte de façon totalement similaire dans les 3 configurations, aussi il serait à priori loisible de donner des limites semblables à la résistance en traction du béton. Cette suggestion s'applique également dans l’arbitrage entre fctd,fl et fctd.

Intégrer la ζ-fissuration du béton : la fissuration progressive
Toujours dans son objectif de déterminer les valeurs les plus probables des sollicitations, contraintes, déformations et déplacements, l’analyse structurale intégre donc la contribution de la résistance à la traction la plus probable du béton, c’est-à-dire avec la valeur moyenne fctm ou même fctm,fl, de la même façon qu’elle utilise la « loi moyenne » de comportement du béton pour la résistance en compression.
Les relations contraintes déformations vont permettre de déterminer la valeur de la courbure en fonction du moment de flexion. Il existe une forte zone de discontinuité dans cette fonction, au voisinage de la fissuration. Le schéma ci-dessous illustre la multiplication de la courbure, ici x4, au moment du franchissement du moment critique de fissuration d'une section de poutre arbitraire :

D’un point de vue plus macroscopique, toutes les sections ne fissurent pas ainsi, de manière totale, en toute abscisse de la poutre, dès l’atteinte du moment critique de fissuration. La fissuration de 2 sections successives le long de la poutre permet, dans un premier temps, au tronçon situé entre 2 fissures consécutives de rester non fissuré. La fissuration est donc progressive. Ce phénomène n’est pas visible dans l’étude d’une section unique comme ci-dessus, mais joue un rôle important dans le calcul intégral aboutissant à la déformation de la poutre.

Afin de passer de la courbure cBA de la section béton, comme calculé ci-dessus, à la courbure moyenne d2u/dx2 de la poutre qui sera utilisée pour la détermination de la flèche, on introduit ainsi un coefficient ζ permettant de prendre en compte la fissuration progressive de la poutre, comme décrit en 7.4.3.
La courbure à retenir pour l’intégration numérique sera une valeur située entre la valeur de la courbure de la section BA non fissurée (aI) et la valeur de la courbure de la section BA fissurée (aII), et le coefficient ζ convergera vers la valeur 1 lorsque la sollicitation (le moment de flexion) augmente jusqu’à la valeur ultime.
![]()
Dans l’exemple ci-dessus, au moment du franchissement du moment critique de fissuration, le coefficient ζ est évalué à ½ selon l’eurocode 2, et la courbure moyenne à retenir pour l’intégration sera donc cint = d2u/dx2 = ½ ( 3,5 10-3 + 12,6 10-3) = 8 10-3 m-1.

Les ordres de grandeur en jeu démontrent l’importance de la prise en compte, non seulement de la résistance du béton tendu, mais aussi de la fissuration progressive des sections, dans l’analyse structurale, comme l’indique 7.1(2).
La prise en compte des tables en traction sur appui
Dans le chapître « modélisation de la structure », l’eurocode 2 §5.3.2.1 donne pour les poutres en T des règles de limitation de la largeur de la table participante en compression en travée, forfaitairement pour tous les états limites.
Le texte reste silencieux sur les conditions de prise en compte des tables en traction, ce qui mérite un éclairage spécifique à la lumière des concepts de l’eurocode 2 rappelés précédemment.
Dans le cadre de l’étape 2 de calcul des sections à l’ELU, on néglige par sécurité la participation du béton tendu. Par conséquent on retrouve les principes selon lesquels en flexion simple :
- Sur appuis, l’absence de résistance du béton tendu conduit à ignorer tout simplement la table dans la justification des sections BA
- En travée : la diffusion physique des contraintes de compression de l’âme vers la table ne peut se faire de manière infiniment étendue et démarre à partir du point de moment nul.
Cependant, l’esprit de l’« analyse structurale » est tout autre : Comme rappelé plus haut dans cet article, celle-ci a pour objectif de déterminer le comportement physique le plus « réaliste » de l’ouvrage à la fois à l’ELU et à l’ELS.
C’est ainsi qu’on se doit idéalement d’utiliser une loi de comportement « moyenne » pour le béton, d’intègrer la participation du béton tendu et même la fissuration progressive des sections, tout comme le retrait et le fluage.
De la même façon, il est non seulement loisible mais souhaitable d’intégrer la table si elle existe, y compris si elle est en traction, et d’appréhender sa contribution éventuelle ainsi que sa fissuration progressive. Dans tous les cas, les aciers filants dans le périmètre de la table peuvent contribuer à la rigidité de la section, mais surtout, dans un certain nombre de situations de chargements ELS QP, FR ou CAR, la table ne fissure pas ou pas entièrement sur appui ce qui peut avoir des effets favorables importants sur :
- le calcul de flèche quasi-permanente, nuisible, et la fréquence propre d’une poutre continue
- le calcul des contraintes en travée et sur appuis
- le calcul d’ouverture de fissures
Ces effets sont favorables. Cependant la présence de la table non fissurée peut également avoir des effets défavorables selon la redistribution de sollicitations engendrée.
On peut se poser la question de savoir si la capacité de résistance du béton en traction, devrait être prise égale à fctm,fl, ou à fctm, dans la table, sachant que plus on s’éloigne de l’âme plus on peut douter de la forme exacte du diagramme de déformation de la section. Mais en pratique, fctm,fl converge vers fctm lorsque la hauteur totale de la poutre tend vers 60cm et devient identique au-delà, ce qui résoud la question.
Le comportement élastique des aciers

Contrairement au béton, le comportement des aciers est beaucoup moins dispersé et l’eurocode retient par conséquent une allure unique pour la loi de comportement de l’acier, à utiliser à la fois dans l’analyse structurale et dans le calcul des sections de BA.
Pour rester logique avec l’approche retenue pour le béton, il aurait été loisible de voir apparaître pour l’analyse structurale, une loi de comportement moyenne de l’acier, correspondant à la loi caractéristique simplifiée par exemple, et n’utiliser la loi de calcul proposée ici, que pour l’étape 2 de calcul des sections.
Des comportements de matériaux supposés réversibles
Dans le calcul de déformation d’une poutre continue, on étudie successivement différentes situations de chargement, à partir desquelles on détermine les valeurs des moments, puis le degré de fissuration des sections, et enfin les flèches, ouvertures de fissures…

On assume donc, d’une situation de chargement à la suivante, que certaines sections peuvent repasser de l’état de « fissuré » à « non fissuré », comme si les fissures non seulement se refermaient, mais se recollaient comme si elles n’avaient jamais existé. Tout se passe comme si la fissuration était donc réversible.
Nous calculons toujours, à l’ELS et à l’ELU, chaque situation de chargement, comme s’il n’y avait eu aucun chargement différent antérieurement. On admet : « l’effet des chargements antérieurs peut être négligé et l’intensité des actions est croissante de façon monotone », tel qu’indiqué en §5.7(3).
Il en est de même pour les contraintes de béton et d’acier, dans tous nos calculs à l’ELS et à l’ELU. Lorsque les charges variables se déplacent, au gré des situations de chargement, le béton et l’acier supposés plastifiés à la situation de chargement précédente, peuvent se retrouver à nouveau à l’état élastique en repassant par le même chemin, au retour, qu’à l’aller : comme en vert sur les schémas ci-dessous.

Nous ne modélisons donc pas la plastification des structures au sens mécanique du terme, mais plutôt la non linéarité de lois de matériaux qui régissent des comportements « élastiques non linéaires ».
2 points sont à mentionner ici : les combinaisons caractéristiques et ultimes sont censés ne se produire que de façon rare dans la vie de l’ouvrage. Par conséquent, il n’est pas aberrant que ne soit pas considéré l’historique de différentes situations de chargement antérieures caractéristiques et ultimes.
En revanche, pour ce qui concerne la fissuration, il serait loisible d’établir l’état de fissuration maximale de chaque section, dans l’ensemble des situations de chargement sous sollicitation quasi permanente, car celles-ci ont toutes les chances de se produire régulièrement dans la vie de l’ouvrage, puis de supposer pour toutes les combinaisons, l’atteinte minimale de ce niveau de fissuration.
Dans le prochain article, nous examinons de manière plus générale le cas des structures hyperstatiques et les process de modélisation possibles selon l'eurocode 2 : Structures hyperstatiques : la solution unique compatible en déformations
EN